北方未来致力于为企业提供全方位的第三方检验检测服务,出具权威第三方检测报告。服务热线: 400-1560-112
糖是一类化学本质为多羟醛或多羟酮及其衍生物的有机化合物,糖代谢是指葡萄糖、糖原等在体内的一系列复杂的化学反应。食物中的糖是机体中糖的主要来源,被人体摄入经消化成单糖吸收后,经血液运输到各组织细胞进行合成代谢和分解代谢。机体内糖的代谢途径主要有葡萄糖的无氧酵解、有氧氧化、磷酸戊糖途径、糖醛酸途径、多元醇途径、糖原合成与糖原分解、糖异生以及其他己糖代谢等。
北方未来采用高效液相色谱的方法,使用Agilent 1260 Infinity型高效液相色谱仪对样品进行分离,蒸发光散射检测器(ELSD)对样品进行鉴定,可高效、精准的检测糖类代谢物质的含量变化。对于常见糖代谢物或以上的糖代谢物的同类物质,可以购买标样后检测,对于稀有的糖代谢物,如提供标准样品,北方未来可提供定制检测。对于无法用HPLC检测的样品,中宙慧远可提供定制检测或试剂盒代测定服务。此外,北方未来还提供生化法测定糖代谢系列的服务,以满足您的不同需求。
项目 | 部分可检测项目(更多项目请咨询在线技术人员) |
单糖 | 单糖组成分析:葡萄糖、果糖、核糖、鼠李糖、阿拉伯糖、木糖、半乳糖、 甘露糖、氨基半乳糖、氨基葡萄糖、 岩藻糖、葡萄糖醛酸、半乳糖醛酸等 |
二糖 | 蔗糖、海藻糖、乳糖、麦芽糖 |
低聚糖 | 水苏糖、棉籽糖、低聚果糖、 低聚木糖、低聚异麦芽糖、大豆低聚糖 |
多糖 | 多糖分子量检测、多糖结构分析、 各类多糖含量测定甲基化、smith降解、 单糖结构分析、糖链结构分 |
其他理化 | 淀粉含量测定、直链淀粉含量测定、 直链淀粉含量测定、粗多糖检测、 还原糖检测、纤维素含量测定、 半纤维素含量测定、 木质素含量测定、甲壳素含量测定 |
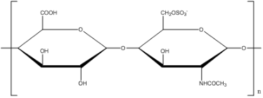
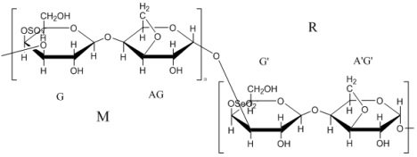
部分结构解析图

样品制备
有机酸提取方法(此部分涉及到公司的核心工艺,以下提供常规的提取工艺)
固体有机酸样品制备方法:
1) 称取500 mg的固体样品;
2) 加入5 mL去离子水;
3) 超声处理30 min;
4) 取2 mL,用乙腈定容至10 mL;
5) 用HPLC-ELSD检测。
HPLC测定糖代谢系列样本要求:
1. 请确保样本量大于0.2g或者0.2mL。
周期:2~3周
项目结束后北方未来将会提供详细中英文双语技术报告,报告包括:
1. 实验步骤(中英文)
2. 相关质谱参数(中英文)
3. 质谱图片
4. 原始数据
5. 糖代谢系列含量信息









